深圳市仪器仪表学会 关于学会| 加入学会 | 联系我们
邮箱
您当前的位置:首页>行业新闻自动化仪表
行业新闻

北京量子信息科学研究院量子操作系统软件研发团队在量子编译系统架构方面取得进展

北京量子信息科学研究院量子操作系统软件研发团队在量子 2025-11-10
近日,北京量子信息科学研究院(以下简称“量子院”)兼聘/清华大学刘东副教授领衔的研究团队与合作者在量子编译系统架构方面取得新进展,提出并实现了一套面向真实超导量子处理器的资源虚拟化与硬件感知融合的量子编译框架——QSteed。该研究在系统层面引入“量子资源虚拟化”与“先选择后编译”机制,实现了量子芯片资源的统一抽象管理与量子程序的高效编译,并在Quafu超导量子计算云平台完成部署与验证。2025年10月16日,该成果以“A Resource-Virtualized and Hardware-Aware Quantum Compilation Framework for Real Quantum Computing Processors”为题发表于期刊《Research》。
 
  随着量子计算硬件规模的不断扩大,如何高效地将高层量子程序编译并映射到实际量子芯片,已成为量子编译系统面临的核心挑战。现有编译框架通常采用将逻辑电路直接映射至整片芯片的方式。然而当前阶段,量子芯片中的噪声特性(如双量子比特门错误率)分布不均匀,部分区域还可能存在失效量子比特或结构缺陷,传统“全芯片映射”策略往往忽略了这些硬件特性,从而限制了编译性能。与此同时,随着量子计算逐步迈向云服务化与多后端异构化,如何实现计算资源的统一管理与硬件感知编译,也对现有编译体系提出了更高要求。
 
  图1 QSteed系统架构。该系统主要由两个核心部分构成:量子计算资源管理器和量子编译器。资源管理器负责对量子芯片进行多层次抽象建模,包括QPU、StdQPU、SubQPU以及VQPU。这些抽象表示被存储在量子计算资源虚拟化数据库中,从而实现对量子后端设备的统一管理。量子编译器通过查询该虚拟化数据库,将用户的量子任务编译到最优的物理量子比特上,并返回优化后的可执行QASM电路及相关编译信息。
 
  针对上述问题,研究团队提出了QSteed,从系统层面实现了资源虚拟化与先选择后编译的创新融合机制。QSteed的整体架构如图1所示,其核心包括两部分:
 
  在硬件端,QSteed引入了量子资源管理器,通过启发式算法主动识别芯片中高质量的子区域,并建立多层次虚拟化模型,包括真实量子处理单元(QPU)、标准量子处理单元(StdQPU)、子结构量子处理单元(SubQPU)与虚拟量子处理单元(VQPU)。这些抽象层共同构建出一个可管理、可查询的量子资源虚拟化数据库,实现对硬件资源的高效统一管理。
 
  在编译阶段,QSteed的编译器首先根据输入电路的结构特征或保真度需求,从数据库中自动匹配最优VQPU。随后,编译器仅在该选定的虚拟子区域内执行硬件感知的编译流程,包括多比特门分解、噪声感知的量子比特映射和路由等。该机制有效缩小了编译优化的搜索空间,实现了高效率、高保真的量子编译。
 
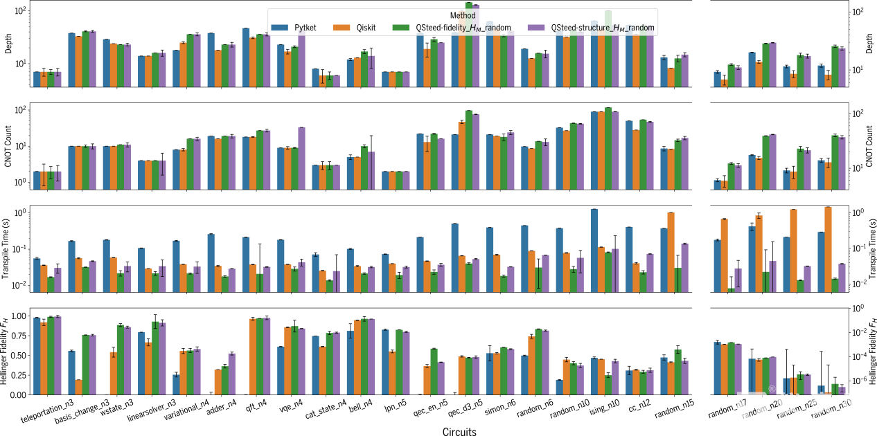
  图2 不同量子编译器在百花(Baihua)芯片上的性能对比。每个基准电路的结果取5次运行的中位数,而随机电路的结果则为超过50个随机生成电路运行结果的平均值,误差棒表示标准误差。纵轴从上到下依次表示:编译后电路深度、CNOT门数量、转译时间,以及Hellinger保真度。除随机电路外,横轴上各电路名称(末尾数字表示量子比特数量)均来自QASMBench基准测试集。
 
  QSteed已在量子院Quafu超导量子计算云平台上进行了部署与验证。如图2展示了在“百花(Baihua)”芯片上的实验结果,与主流编译工具(如Qiskit与Pytket)相比,QSteed在大多数基准电路中实现了更短的编译时间和更高的电路运行保真度。其性能优势主要得益于预先构建的VQPU数据库及硬件感知的编译策略。
 
  该框架为面向大规模量子计算云平台的多后端资源管理与硬件自适应编译提供了有效路径,也为未来拓展至离子阱、中性原子等多物理体系的异构量子集群,开展统一资源管理与协同编译提供了新思路。
 
  该论文第一作者为量子院助理研究员许宏泽,通讯作者为量子院兼聘研究员/清华大学副教授刘东、量子院副研究员胡孟军以及助理研究员许宏泽,其他合作者还包括量子院助理研究员柴绪丹、王正安、汪景波、庄伟峰,高级工程师冯玉龙,研究员金贻荣,资深研究员于海峰,量子院兼聘/中国科学院物理所研究员范桁,以及实习生陈禹、张鑫鹏等。该工作得到了北京市自然科学基金、国家自然科学基金以及量子科学与技术创新计划的支持。
55 好文章,需要你的鼓励
留言咨询